Kelly Nathan Kelly Nathan Simple Wedding Cake Romantic Wedding Cake Spring Wedding Cake

Kelly Nathan Kelly Nathan Simple Wedding Cake Romantic Wedding Cake Spring Wedding Cake

Sozler Ad 1 Sozler Appreciatelifequotes Famouslifequotes Lifequotesmeaningful Littlethingsinl Music Quotes Funny Blues Music Poster Rap Music Lyrics

Sozler Ad 1 Sozler Appreciatelifequotes Famouslifequotes Lifequotesmeaningful Littlethingsinl Music Quotes Funny Blues Music Poster Rap Music Lyrics

Chicago White Sox On Twitter Pasta Party At The Anderson Household

Chicago White Sox On Twitter Pasta Party At The Anderson Household

Nathan Holland Hollandnathan Twitter

Nathan Holland Hollandnathan Twitter

Chicago White Sox On Twitter Pasta Party At The Anderson Household

Chicago White Sox On Twitter Pasta Party At The Anderson Household

World Series 2018 Nathan Eovaldi Turns Heads In World Series Loss Cbs Boston

World Series 2018 Nathan Eovaldi Turns Heads In World Series Loss Cbs Boston

World Series 2018 Nathan Eovaldi Turns Heads In World Series Loss Cbs Boston

Ally Mika Unchartedstuck Profile Pinterest

Ally Mika Unchartedstuck Profile Pinterest

Duck Boats Cbs Boston

Duck Boats Cbs Boston

Mini Cakes Icin 100 Fikir Minecraft Binalari Bogurtlenli Tatli Food Cakes

Mini Cakes Icin 100 Fikir Minecraft Binalari Bogurtlenli Tatli Food Cakes

Nhl Awards Voters Showing No Respect To David Pastrnak And It S A Damn Shame Rsn

Nhl Awards Voters Showing No Respect To David Pastrnak And It S A Damn Shame Rsn

Laulu On A Desert Island Shower Tunes And Shorty Street Get To Know Some Black Sox Stars Away From The Diamond The Dugout

Laulu On A Desert Island Shower Tunes And Shorty Street Get To Know Some Black Sox Stars Away From The Diamond The Dugout

Nate Eovaldi Provides Most Relief By Rejoining Red Sox Rotation The Boston Globe

Nate Eovaldi Provides Most Relief By Rejoining Red Sox Rotation The Boston Globe

David Krejci In Playoff Form

David Krejci In Playoff Form

Portland Businesses And Organizations Offer Support To Protesters Portland Press Herald

Portland Businesses And Organizations Offer Support To Protesters Portland Press Herald

Red Sox Nathan Eovaldi In Agreement On New Contract Cbs Boston

Red Sox Nathan Eovaldi In Agreement On New Contract Cbs Boston

Ozarks Fox Am Bruschetta Pasta Part 2 2 27 20 Kolr Ozarksfirst Com

Ozarks Fox Am Bruschetta Pasta Part 2 2 27 20 Kolr Ozarksfirst Com

Giant Groceries Pharmacy Pickup And Delivery

Giant Groceries Pharmacy Pickup And Delivery

Info Serangkaian Kegiatan Memperingati Hari Jadi Demak Ke 517 Dinas Kepemudaan Dan Olahraga

Info Serangkaian Kegiatan Memperingati Hari Jadi Demak Ke 517 Dinas Kepemudaan Dan Olahraga

Red Sox Have Worst Winning Percentage In Franchise History Chaim Bloom S Real Job Begins Now Cbs Boston

Red Sox Have Worst Winning Percentage In Franchise History Chaim Bloom S Real Job Begins Now Cbs Boston

Http Theateratmonmouth Org Wp Content Uploads 2013 01 2017 Inkind Pdf

Http Theateratmonmouth Org Wp Content Uploads 2013 01 2017 Inkind Pdf

Nithin Vermicelli Red Chilli Powder 770 Grams Amazon In Grocery Gourmet Foods

Nithin Vermicelli Red Chilli Powder 770 Grams Amazon In Grocery Gourmet Foods

Share Your Holiday Lights Cbs Boston

Share Your Holiday Lights Cbs Boston

Bruins David Pastrnak Not Getting The Respect He Deserves For Hart Trophy Rsn

Bruins David Pastrnak Not Getting The Respect He Deserves For Hart Trophy Rsn

Boston Boston Sports Mania

Boston Boston Sports Mania

A Realistic Expectation Other Important Red Sox Questions With Dan Roche Cbs Boston

A Realistic Expectation Other Important Red Sox Questions With Dan Roche Cbs Boston

Chicago Southland Convention Visitors Bureau Unique Venues

Chicago Southland Convention Visitors Bureau Unique Venues

Nathan Goff S Top 10 Picks Of Boston Harbor

Nathan Goff S Top 10 Picks Of Boston Harbor

Ally Mika Unchartedstuck Profile Pinterest

Ally Mika Unchartedstuck Profile Pinterest

Via I Loved Bringing Becs Cake Dreams To Life For Her Wedding Over The Weekend I Have Been Lucky Kuchen Kindergeburtstag Kuchen Rezepte Kuchen Ohne Backen

Via I Loved Bringing Becs Cake Dreams To Life For Her Wedding Over The Weekend I Have Been Lucky Kuchen Kindergeburtstag Kuchen Rezepte Kuchen Ohne Backen

Ron Roenicke Explains Two Of His Questionable Decisions In Red Sox Loss To Rays Cbs Boston

Ron Roenicke Explains Two Of His Questionable Decisions In Red Sox Loss To Rays Cbs Boston

David Pastrnak Named All Star Game Captain

David Pastrnak Named All Star Game Captain

Kale Sauce Pasta Recipe Nyt Cooking

Kale Sauce Pasta Recipe Nyt Cooking

Eastboston Instagram Posts Photos And Videos Picuki Com

Eastboston Instagram Posts Photos And Videos Picuki Com

2018 World Series Champion Red Sox Honored By President Trump At White House Cbs Boston

2018 World Series Champion Red Sox Honored By President Trump At White House Cbs Boston

Mazz Celebrating The 12 Days Of Christmazz In The Golden Age Of Boston Sports

Mazz Celebrating The 12 Days Of Christmazz In The Golden Age Of Boston Sports

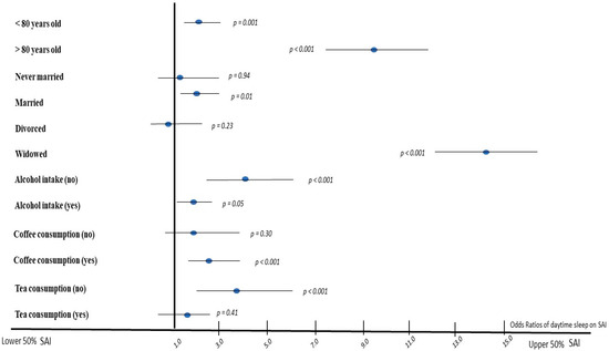
Brain Sciences Free Full Text Midday Napping And Successful Aging In Older People Living In The Mediterranean Region The Epidemiological Mediterranean Islands Study Medis Html

Brain Sciences Free Full Text Midday Napping And Successful Aging In Older People Living In The Mediterranean Region The Epidemiological Mediterranean Islands Study Medis Html

65 Easy Lunch Ideas For Stressed Out People

65 Easy Lunch Ideas For Stressed Out People

Ally Mika Unchartedstuck Profile Pinterest

Ally Mika Unchartedstuck Profile Pinterest

Red Sox World Series Odds Dip While Yankees Dodgers Remain Favorites Cbs Boston

Red Sox World Series Odds Dip While Yankees Dodgers Remain Favorites Cbs Boston

Pwc Audit And Assurance Consulting And Tax Services

Pwc Audit And Assurance Consulting And Tax Services

Red Sox Nicknames Revealed For Players Weekend The Boston Globe

Red Sox Nicknames Revealed For Players Weekend The Boston Globe

Nathan Aguilar Cbs Boston

Nathan Aguilar Cbs Boston

Araba Snapleri Hd Passat Passat Gece Snap Youtube Inspirational Quotes Motivation Youtube Snaps

Araba Snapleri Hd Passat Passat Gece Snap Youtube Inspirational Quotes Motivation Youtube Snaps

Pietro Castelli Forzapietro Twitter

Pietro Castelli Forzapietro Twitter

27 Best Food Gifts 2020 Unique Gift Ideas For Foodies

27 Best Food Gifts 2020 Unique Gift Ideas For Foodies

Orleans Church Highlights Talents Of Artists Worldwide The Boston Globe

Orleans Church Highlights Talents Of Artists Worldwide The Boston Globe

Ally Mika Unchartedstuck Profile Pinterest

Ally Mika Unchartedstuck Profile Pinterest

Nathan Eovaldi To Be Red Sox Closer Report Says Cbs Boston

Nathan Eovaldi To Be Red Sox Closer Report Says Cbs Boston

Konsultasi Pengadaan Barang Di Unit Layanan Pengadaan Ulp Kabupaten Demak 2019 Dinas Kepemudaan Dan Olahraga

Konsultasi Pengadaan Barang Di Unit Layanan Pengadaan Ulp Kabupaten Demak 2019 Dinas Kepemudaan Dan Olahraga

Red Sox Get To Work Early At Spring Training Cbs Boston

Red Sox Get To Work Early At Spring Training Cbs Boston

Chicago Southland Convention Visitors Bureau Unique Venues

Chicago Southland Convention Visitors Bureau Unique Venues

This Hot Chocolate Bomb Is Big Enough To Feed A Whole Family

This Hot Chocolate Bomb Is Big Enough To Feed A Whole Family

Pwc Audit And Assurance Consulting And Tax Services

Pwc Audit And Assurance Consulting And Tax Services

5 Things Supermarkets Want You To Know During The Covid 19 Pandemic World Economic Forum

5 Things Supermarkets Want You To Know During The Covid 19 Pandemic World Economic Forum

Ally Mika Unchartedstuck Profile Pinterest

Ally Mika Unchartedstuck Profile Pinterest

Ally Mika Unchartedstuck Profile Pinterest

Ally Mika Unchartedstuck Profile Pinterest

Red Sox Reportedly Showing Interest In Veteran Starter J A Happ Cbs Boston

Red Sox Reportedly Showing Interest In Veteran Starter J A Happ Cbs Boston

Nathan Eovaldi Baseball Card Database Newest Products Will Be Shown First In The Results 50 Per Page

Nathan Eovaldi Baseball Card Database Newest Products Will Be Shown First In The Results 50 Per Page

Nathan Eovaldi Shows Progress But Red Sox Taking Careful Approach Cbs Boston

Nathan Eovaldi Shows Progress But Red Sox Taking Careful Approach Cbs Boston

Meet The Gitlab Team Gitlab

Meet The Gitlab Team Gitlab

America 2019 Day Fourteen Friday 31 May Kitchtrips

America 2019 Day Fourteen Friday 31 May Kitchtrips

Nathan Eovaldi Strikes Out Side In His Rehab Inning With Pawsox Cbs Boston

Nathan Eovaldi Strikes Out Side In His Rehab Inning With Pawsox Cbs Boston

Pin By Michelle Platko On Read Across America Seuss Baby Shower Dr Seuss Birthday Party Dr Seuss Baby Shower

Pin By Michelle Platko On Read Across America Seuss Baby Shower Dr Seuss Birthday Party Dr Seuss Baby Shower

Ozarks Fox Am Bruschetta Pasta Part 2 2 27 20 Kolr Ozarksfirst Com

Ozarks Fox Am Bruschetta Pasta Part 2 2 27 20 Kolr Ozarksfirst Com

8 Liset Veliz Kool Aid Ice Cubes With Sprite Ideas Kool Aid Spaghetti Meat Sauce Recipes

8 Liset Veliz Kool Aid Ice Cubes With Sprite Ideas Kool Aid Spaghetti Meat Sauce Recipes

Duvall Follows Ozuna With 3 Hrs Braves Sweep Red Sox Cbs Boston

Duvall Follows Ozuna With 3 Hrs Braves Sweep Red Sox Cbs Boston

Subscribe Now Home Set Weather Mobile Apps Chevron That Denotes Content That Can Open Up Chevron That Denotes Content That Can Open Up Chevron That Denotes Content That Can Open Up Back To Mobile Apps Download Our News App For Iphone

Subscribe Now Home Set Weather Mobile Apps Chevron That Denotes Content That Can Open Up Chevron That Denotes Content That Can Open Up Chevron That Denotes Content That Can Open Up Back To Mobile Apps Download Our News App For Iphone

Reporting From Foxboro Belichick Not Happy With New Rule Nbc Sports Boston

Reporting From Foxboro Belichick Not Happy With New Rule Nbc Sports Boston

Nathan Bill S Removes Dress Code Thought To Be Racist Masslive Com

Nathan Bill S Removes Dress Code Thought To Be Racist Masslive Com

Https Www Norwoodnews Org Wp Content Uploads 2011 01 Nn 20130418 Pdf

Https Www Norwoodnews Org Wp Content Uploads 2011 01 Nn 20130418 Pdf

65 Easy Lunch Ideas For Stressed Out People

65 Easy Lunch Ideas For Stressed Out People

Red Sox Break 9 Game Losing Streak Beat Phillies Behind Big Day From Devers Cbs Boston

Red Sox Break 9 Game Losing Streak Beat Phillies Behind Big Day From Devers Cbs Boston

Student Dies After Eating Leftover Pasta That Wasn T Kept In The Fridge

Student Dies After Eating Leftover Pasta That Wasn T Kept In The Fridge

Pwc Audit And Assurance Consulting And Tax Services

Pwc Audit And Assurance Consulting And Tax Services

Nesn Now Accepting Ideas For Pasta Captions We Re Already Running Low Facebook

Nesn Now Accepting Ideas For Pasta Captions We Re Already Running Low Facebook

Red Sox Woes Continue With 11 5 Loss To Yankees Cbs Boston

Red Sox Woes Continue With 11 5 Loss To Yankees Cbs Boston

Daisies

Daisies

Dome Dining Igloos Star At Farmhouse Restaurant At Fair Oaks Farms Food And Cooking Nwitimes Com

Dome Dining Igloos Star At Farmhouse Restaurant At Fair Oaks Farms Food And Cooking Nwitimes Com

44 Summer Vegetarian Recipes To Last You All Season

44 Summer Vegetarian Recipes To Last You All Season

Jameis Winston Close To Deal With The Saints Full Press Coverage

Jameis Winston Close To Deal With The Saints Full Press Coverage

Konsultasi Pengadaan Barang Di Unit Layanan Pengadaan Ulp Kabupaten Demak 2019 Dinas Kepemudaan Dan Olahraga

Konsultasi Pengadaan Barang Di Unit Layanan Pengadaan Ulp Kabupaten Demak 2019 Dinas Kepemudaan Dan Olahraga

Mini Cakes Icin 100 Fikir Minecraft Binalari Bogurtlenli Tatli Food Cakes

Mini Cakes Icin 100 Fikir Minecraft Binalari Bogurtlenli Tatli Food Cakes

Offbeat Singer Nathan Pacheco Ready For Tuesday Concert And Chicago Return Offbeat With Phil Potempa Nwitimes Com

Offbeat Singer Nathan Pacheco Ready For Tuesday Concert And Chicago Return Offbeat With Phil Potempa Nwitimes Com

Nithin Vermicelli Red Chilli Powder 770 Grams Amazon In Grocery Gourmet Foods

Nithin Vermicelli Red Chilli Powder 770 Grams Amazon In Grocery Gourmet Foods

65 Easy Lunch Ideas For Stressed Out People

65 Easy Lunch Ideas For Stressed Out People

Reinstatement Of Officers Involved In Nathan Bill S Case Was A Mistake Springfield Mayor Domenic Sarno Says Officers Will Be Suspended Again Masslive Com

Reinstatement Of Officers Involved In Nathan Bill S Case Was A Mistake Springfield Mayor Domenic Sarno Says Officers Will Be Suspended Again Masslive Com

Mini Cakes Icin 100 Fikir Minecraft Binalari Bogurtlenli Tatli Food Cakes

Mini Cakes Icin 100 Fikir Minecraft Binalari Bogurtlenli Tatli Food Cakes

Nfl Will Quietly Get Rid Of Pass Interference Challenges And Reviews When Nobody S Really Looking Cbs Boston

Nfl Will Quietly Get Rid Of Pass Interference Challenges And Reviews When Nobody S Really Looking Cbs Boston

Springfield License Commission Approves Earlier Hours New Manager At Nathan Bill S Bar Restaurant Masslive Com

Springfield License Commission Approves Earlier Hours New Manager At Nathan Bill S Bar Restaurant Masslive Com

2

2

Villa Toscana Sienkiewicza 10

Villa Toscana Sienkiewicza 10

44 Summer Vegetarian Recipes To Last You All Season

44 Summer Vegetarian Recipes To Last You All Season

Nathan Taylor Direct Marketing Observations

Nathan Taylor Direct Marketing Observations

44 Summer Vegetarian Recipes To Last You All Season

44 Summer Vegetarian Recipes To Last You All Season

Dome Dining Igloos Star At Farmhouse Restaurant At Fair Oaks Farms Food And Cooking Nwitimes Com

Dome Dining Igloos Star At Farmhouse Restaurant At Fair Oaks Farms Food And Cooking Nwitimes Com

Share Your Holiday Lights Cbs Boston

Share Your Holiday Lights Cbs Boston

Bold Flavors Abound At Sekali A Malaysian And Southeast Asian Pop Up Boston Com

Bold Flavors Abound At Sekali A Malaysian And Southeast Asian Pop Up Boston Com

Ally Mika Unchartedstuck Profile Pinterest

Ally Mika Unchartedstuck Profile Pinterest

Nathan Bill S Bar Hosting Celebrity Bartender Event To Benefit Gray House In Springfield S North End Masslive Com

Nathan Bill S Bar Hosting Celebrity Bartender Event To Benefit Gray House In Springfield S North End Masslive Com

Source : pinterest.com